ඉන්ධන මිල සංශෝධනයක් බලාපොරොත්තුවෙන් ලංකා ඛනිජ තෙල් නීතිගත සංස්ථාව මගින් පාලනය කරන ඉන්ධන පිරවුම්හල් 101ක පෙට්රල් 92 සහ පිරවුම්හල් 61ක ලංකා ඔටෝ ඩීසල්, 50% ක් අවම තොග ඊයේ (30) දවස වන විට පවත්වාගෙන යාමට අපොහොසත් වී ඇති අතර ප්රමාණවත් තොග පවත්වාගෙන යාමට අවශ්ය ඉන්ධන ඇණවුම් කර නොමැති බව, විදුලිබල හා බලශක්ති අමාත්ය කංචන විජේසේකර සිය නිල ෆේස්බුක් ගිණුමේ සටහනක් තබමින් පවසනවා.
නිසිපරිදි ඉන්ධන තොග පවත්වාගෙන යාමට අපොහොසත් වූ ඉන්ධන පිරවුම්හල් කීපයක පාලනය ලංකා ඛනිජ තෙල් නීතිගත සංස්ථාව යටතට ගැනීමට සහ අනෙකුත් පිරවුම්හල්වලට එරෙහිව අවශ්ය නීතිමය පියවර ගැනීමට පසුගිය මස කටයුතු කළ බව අමාත්යවරයා සඳහන් කරනවා.
නිසියාකාරව අවශ්ය අවම ඉන්ධන තොග පවත්වාගෙන යාමට අවශ්ය ඇණවුම් සිදු කරන ලෙස සියලුම ඉන්ධන පිරවුම්හල් හිමියන්ගෙන් ඉල්ලා සිටින බවත් අවශ්ය ප්රමාණවත් ඉන්ධන තොග ලංකා ඛනිජ තෙල් සංස්ථාව සතුව පවතින බවත්ඒ මහතා පෙන්වා දෙනවා.
2023.07.30 වනදා උදෑසන 8.30 වනවිට ලංකා ඛණිජ තෙල් නීතිගත සංස්ථාව සතුව පවතින ඉන්ධන තොග මෙසේය.
ලංකා ඔටෝ ඩීසල් – මෙ.ටො. 124,690
සුපිරි ඩීසල් – මෙ.ටො 5,651
පැට්රල් 92- මෙ.ටො 19,903
පැට්රල් 95 – මෙ.ටො 4,537
ගුවන්යානා ඉන්ධන – මෙ.ටො 26,539
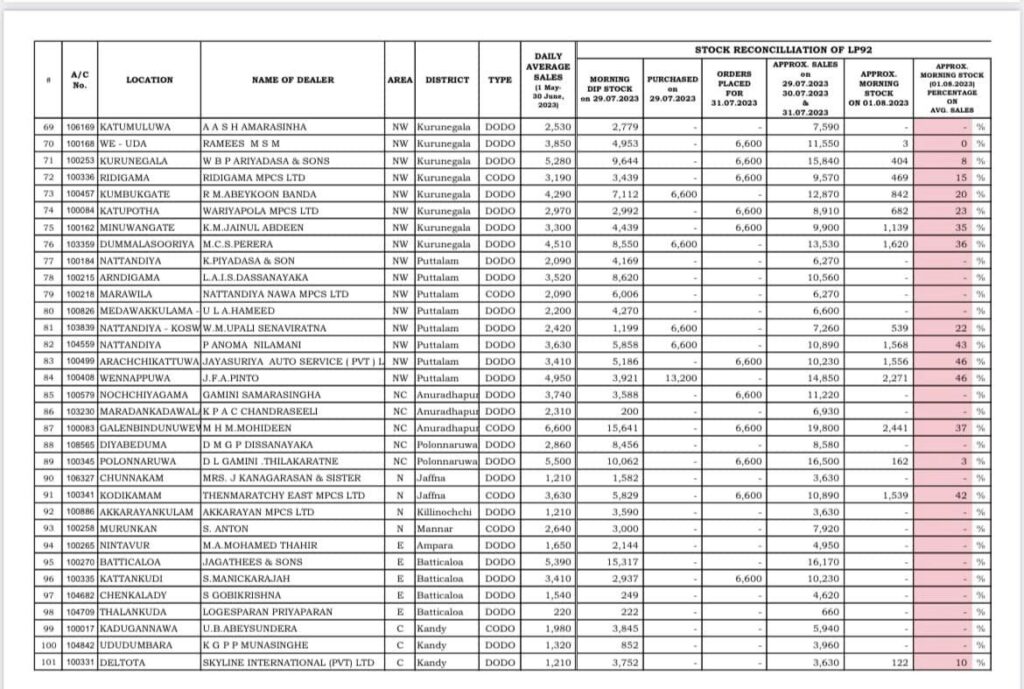
(30) වනදා වන විට ප්රමාණවත් ඉන්ධන තොග පවත්වාගෙන යාමට අසමත් වී ඇති සහ ප්රමාණවත් තොග පවත්වාගෙන යාමට අවශ්ය ඉන්ධන ඇණවුම් නොකරන ලද ඉන්ධන පිරවුම්හල් පහතින් දැක්වේ.






